工業通風
Industrial ventilation

管道設計與風扇選擇結果圖

Duct design & fan selection

管道風機系統機構設計

Step1污染源說明

(1) 空間大小

通風環境設置為教室,有窗戶還有門並且設置好管道出口。

空間大小

(2) 污染源

汙染源設定為可以清潔板擦的板擦箱,讓其粉末等有害汙染在板擦箱內,藉由通風管道排出。

汙染物

Step2局部排氣設計

由污染源的類型與區域大小,設計吸氣罩:

(1) 吸氣罩類型:Canopy Hood(頂棚式氣罩)

(2) 吸氣罩尺寸:

氣罩尺寸

(3) 吸氣速度與吸氣量:

吸氣速度與吸氣量

Step3管道設計

由空間大小、污染源放置位置及吸氣罩的安裝條件,規畫管道系統

管道設計1 管道設計2

Step3.1 風機上游管道

(1) 管道尺寸規劃:

上游管道尺寸規畫

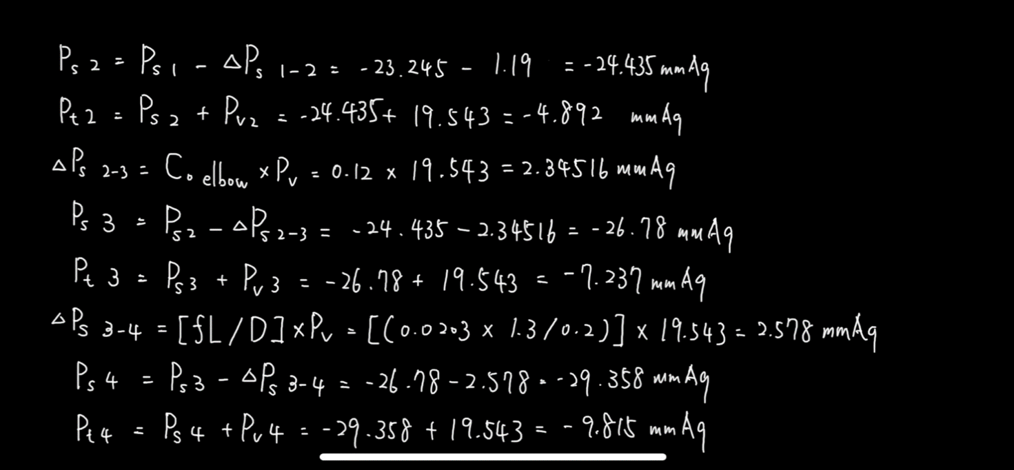
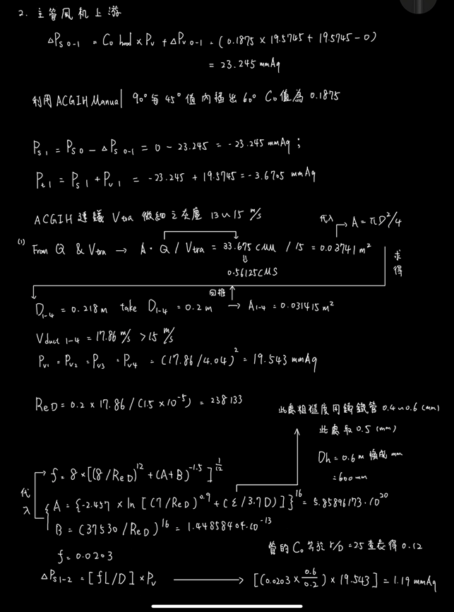
(2) 管道內流速、流量、損失、壓力等評估

上游管道內流速、流量、損失、壓力等評估1 上游管道內流速、流量、損失、壓力等評估2

Step3.2 風機下游管道

(1) 管道尺寸規劃:

下游管道尺寸規畫

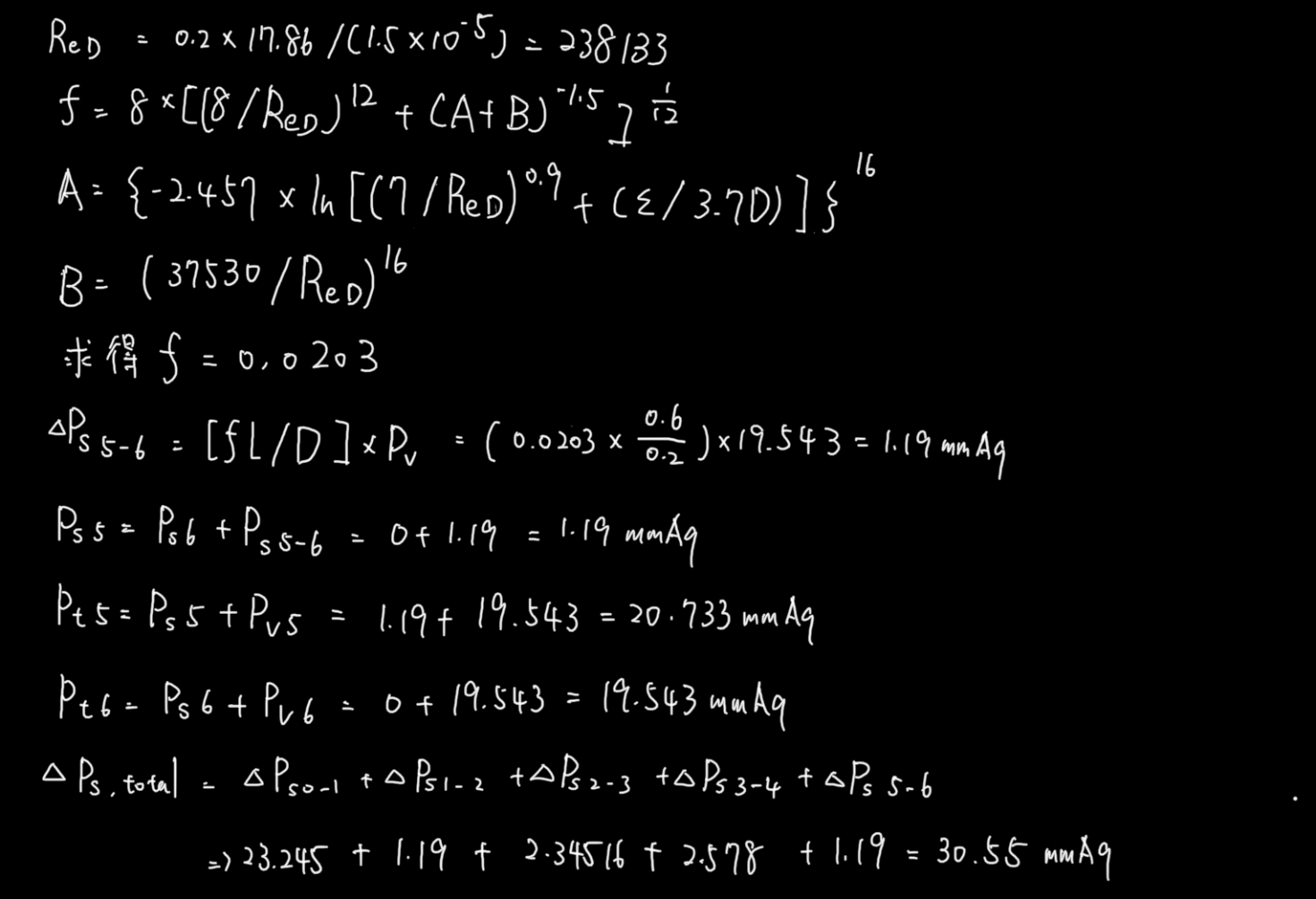
(2) 管道內流速、流量、損失、壓力等評估

下游管道內流速、流量、損失、壓力等評估

Step3.3 管道系統損失與流量需求

管道損失與流量

Step4風機匹配

由管道系統的損失與流量需求,上網詢找適當的風機,並將性能曲線與管道系統阻抗匹配,求得風扇操作點,確認流量是否滿足吸氣罩的需求。

風機推薦網站:

(1) 質昌風機

(2) 順功風機

風機尺寸 風機流量圖 風機詳細資訊